Home
Product Center
Feedback
Certificates
Contact Us
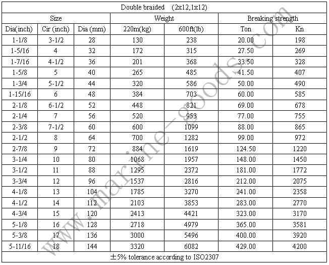
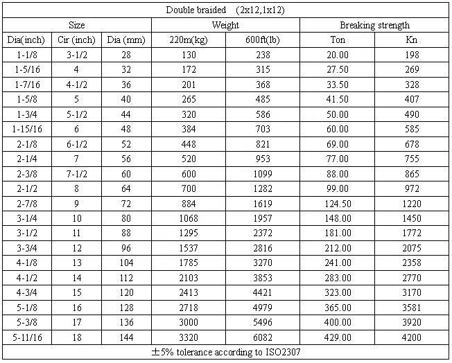
Polyester&Nylon (Polyamide) Double Braided Rope
Home
Product Center
Feedback
Certificates
Contact Us