Home
Product Center
Feedback
Certificates
Contact Us
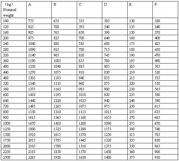
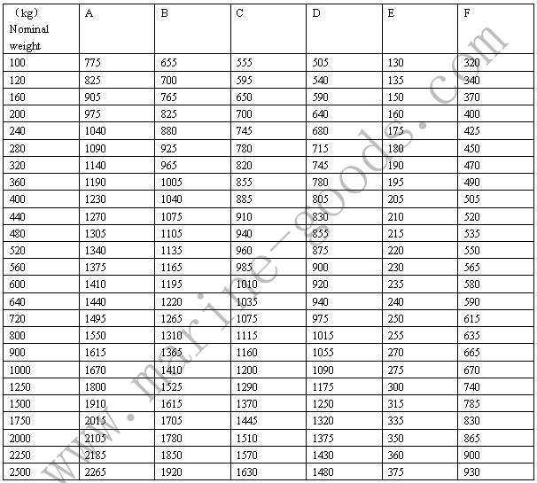
N-type Pool Anchor
Home
Product Center
Feedback
Certificates
Contact Us